Trading

Dans cet article, nous allons expliquer ce qu'est le retracement de Fibonacci, comment il est calculé, et son importance pour anticiper les ajustements du marché à un mouvement tendanciel.
Le retracement de Fibonacci est un outil d'analyse technique utilisé sur les marchés financiers pour identifier des niveaux potentiels de support et résistance basés sur la séquence mathématique découverte par Leonardo Fibonacci. Ces pourcentages s'appliquent à l'ampleur d'un mouvement de prix précédent pour prévoir jusqu'à où il pourrait retracer avant de continuer dans la direction originale de la tendance.
Et lorsque nous parlons de marchés, ou mieux encore de la représentation graphique des données de tout actif, nous observons que tous les actifs se déplacent toujours dans une chorégraphie éternelle d'impulsions et de corrections.
Le mouvement impulsif est un mouvement déterminé en faveur de la tendance du moment. Prenons comme exemple qu'un mouvement impulsif a un parcours de 100. Si le mouvement suivant va dans la direction opposée et a un parcours inférieur à 100, alors nous disons que ce deuxième mouvement est une correction. Une fois celle-ci terminée, une nouvelle impulsion commence. Les retracements de Fibonacci sont cruciaux car ils permettent d'entrer sur le marché en faveur de la tendance le plus tôt possible.

Sur ce graphique, les impulsions sont souvent représentées par des flèches noires et les corrections par des flèches rouges.
Les corrections sont toujours inférieures aux impulsions précédentes, ne corrigeant qu'une partie de l'impulsion précédente. De plus, la correction est proportionnelle à l'impulsion qu'elle corrige, ce qui peut être visualisé avec des niveaux de retracement de Fibonacci.
Par conséquent, le RETRACEMENT DE FIBONACCI est le calcul par des formules mathématiques de ce que devrait être le parcours de chaque correction d'une impulsion.
En tout, les niveaux de retracement les plus courants sont 23,6 %, 38,2 %, 50 %, 61,8 % et 76,4 %. Nous pourrions également ajouter le 1/2, le 50 % et le 88,2 % comme zone de correction maximale.
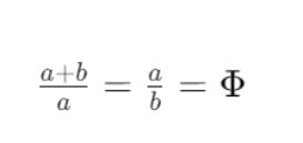
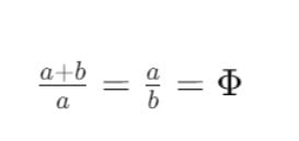
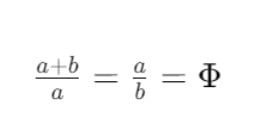
Le nombre d'or de Fibonacci, également connu sous le nom de proportion dorée, nombre d'or ou nombre de Fibonacci, est un nombre irrationnel célèbre pour ses propriétés esthétiques et mathématiques uniques. Il est couramment représenté par la lettre grecque phi (Φ) et a une valeur approximative de 1,618033988749895.
Cette proportion découle de la division en deux segments d'une ligne, de telle sorte que la relation entre la partie la plus longue et la plus courte est égale à la relation entre la longueur totale et la partie la plus longue. Mathématiquement, si a est la longueur de la partie la plus longue et b est la longueur de la partie la plus courte, alors :

Le nombre d'or est étroitement lié à la séquence de Fibonacci, où chaque nombre après les deux premiers est la somme des deux précédents (0, 1, 1, 2, 3, 5, 8, 13, ...). À mesure que la séquence progresse, la relation entre les nombres successifs s'approche de plus en plus du nombre d'or, Φ
Pour tracer un retracement de Fibonacci, nous devons utiliser l'outil de retracement de Fibonacci. Pour calculer les zones attendues de fin de correction, nous tracerons une ligne dans l'impulsion à corriger.
Dans le cas de la recherche d'un retracement de Fibonacci d'une impulsion baissière, nous placerons le premier point de l'outil de retracement de Fibonacci au début de l'impulsion (en haut), et le deuxième point, à la fin de l'impulsion (en bas). Et automatiquement, les différentes cotes de pourcentage de correction seront dessinées.

Et à l'inverse, dans le cas de la recherche d'un retracement de Fibonacci d'une impulsion haussière, ce que nous ferons est de prendre l'outil de retracement de Fibonacci et de placer le premier point dans la zone basse de l'impulsion, et le deuxième point dans la partie la plus haute de l'impulsion. Les différentes cotes de pourcentage de correction seront automatiquement dessinées.

Le concept étant clarifié, voyons comment appliquer les retracements de Fibonacci dans le trading. Ils sont utilisés pour calculer les zones possibles de fin de correction, rechercher un motif dans cette zone, et entrer tôt dans la nouvelle impulsion. Les retracements de Fibonacci fonctionnent de la même manière dans les tendances haussières et baissières.
Il est important de comprendre que le marché est vivant et dynamique. Parfois, il y a de la force, et parfois il n'y en a pas. Lors de la recherche de la fin possible d'une correction pour reprendre l'impulsion, il est essentiel de marquer des “zones” et non des points spécifiques. Ces zones, appelées zones de support ou de résistance, sont les endroits où le marché pourrait rebondir pour initier une nouvelle impulsion.
Les niveaux de retracement de Fibonacci les plus courants vont de 23,6 % à 76,4 %. Le choix du niveau de retracement dépend de la phase de la structure du marché :
Cette fois-ci, étant le début d'une grande structure les premières corrections, nous pouvons voir qu'elles vont dans la zone de 61,8% à 76,2% et à mesure que la structure avance, la zone de correction est moindre en raison de l'augmentation de la force du marché.

Ici, nous pouvons voir parfaitement qu'à mesure que la structure avance ou “mûrit” les corrections sont moindres, nous passons de la bande du début de structure de 61,8% à 76,4% à une nouvelle bande plus petite entre 38,2% et 50% en actions.

Regardez comment dans cet autre cas, avec une tendance clairement baissière et une structure déjà très avancée, la correction est moindre, juste dans la zone de 38,2% à 50%.

Voyez dans ce graphique comment nous pouvons voir une série d'impulsions et de corrections dans les deux directions:

En tout, les zones sont de 61,8% à 76,4% pour les premières corrections après un changement de marché et les zones entre 38,2% et 50% lorsque la structure est déjà "mûre" ou avancée.
Tout comme nous parlons de RETRACEMENTS DE FIBONACCI, nous pourrions également parler de PROJECTIONS ou EXTENSIONS DE FIBONACCI, pour pouvoir déterminer la zone attendue où une impulsion peut se terminer.
De la même manière qu'avec le retracement de Fibonacci, nous pouvons trouver les zones les plus probables de fin d'une correction avec les projections ou extensions de Fibonacci, nous pouvons déterminer la zone la plus probable de fin d'une impulsion.

Et bien sûr, nous pouvons utiliser les deux mesures :

Nous utilisons les projections de Fibonacci pour déterminer surtout les zones attendues où les impulsions se terminent, si nous tenons compte du fait que les mouvements d'impulsion, de correction, forment des structures.
Et l'un des génies qui a le plus étudié ces mouvements est précisément celui qui a déterminé comment appliquer la séquence de Fibonacci sur les marchés financiers.
De cette manière, en 1930, Ralph Nelson Elliot a élaboré son Principe des ondes, ou plus connu sous le nom de Théorie des Ondes d'Elliott, et c'est lui qui a jusqu'à ce jour réalisé les études les plus complètes jamais réalisées sur les mouvements des marchés.
Ainsi donc, la vague idéale d'Elliott de n'importe quel marché, attention je répète "Vague Idéale" mais qui sert à comprendre l'application des pourcentages de Fibonacci serait la suivante.

Ici, nous pouvons voir toutes les relations des retracements et projections de Fibonacci, dans une "vague d'Elliott idéale".
Et comme je suis sûr que vous avez entendu parler de nombreuses autres zones d'intérêt de Fibonacci, je vous laisse avec les articles suivants, pour que vous ayez une vision plus complète :
En définitive, avec ce guide sur l'utilisation du retracement de Fibonacci, j'espère avoir pu aider à prédire les rebonds (et leur portée) au sein des structures de marché