Bourse

Avez-vous déjà réfléchi à la façon dont les prix influencent vos décisions d'achat ? Ce concept, connu sous le nom d'élasticité de la demande, mesure la sensibilité des consommateurs aux variations de prix d'un produit. Il vous aide à prévoir les réactions du marché et à optimiser vos stratégies de tarification. Dans cet article, nous allons définir la notion d'élasticité de la demande, expliquer comment elle se calcule et illustrer son application avec des exemples concrets.

L'élasticité de la demande est un concept créé par l'économiste anglais Alfred Marshall. Elle décrit comment la demande d'un bien ou service varie en fonction des changements de prix.
Ainsi, l'élasticité de la demande mesure la variation en pourcentage de la quantité demandée par rapport aux variations en pourcentage du prix. Ce concept illustre la relation inverse entre les prix et la demande : lorsque le prix augmente, la demande diminue, et vice versa.
Pour calculer l'élasticité de la demande, vous devrez utiliser la formule suivante :

En effet, Le calcul de l'élasticité montre de quelle manière la quantité demandée change lorsqu'il y a une variation de prix. Il aide donc à évaluer si une modification du prix entraînera une hausse ou une baisse significative de la demande.
Plus la pente de la courbe de la demande est raide, plus la demande sera inélastique face aux variations de prix. Le résultat de cette équation doit être interprété en termes absolus. Autrement dit, une valeur inférieure à 1 indique une demande inélastique, tandis qu'une valeur supérieure à 1 signifie que la demande est élastique.
| Si Ed > 1 | Demande élastique | ||
| Si Ed < 1 | Demande inélastique |
| Si Ed > 1 | Demande élastique |
| Si Ed < 1 | Demande inélastique |
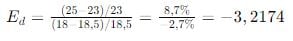
Imaginons que le prix d'un bien passe de 18,5 à 18, soit une diminution de 2,7%. La demande augmente alors de 23 à 25, soit une croissance de 8,7%.
Faisons le calcul :

En valeur absolue, l'élasticité de la demande est de 3,2174. Cela signifie que le bien ou service est élastique. Autrement dit, une réduction de prix entraîne une augmentation proportionnellement plus importante de la demande.
Il existe cinq types d'élasticité-prix de la demande :
Il convient de souligner que les trois derniers types sont des cas extrêmes et existent uniquement de manière théorique.

Contrairement à la tendance générale, certains produits présentent une courbe de demande positive. Cela signifie que leur demande augmente avec leur prix. Ces produits sont appelés biens de Giffen. Ils sont souvent perçus comme luxueux. Ainsi, on considère leur prix élevé comme un symbole de statut ou d'exclusivité. Lorsqu'un bien de Giffen voit son prix diminuer, il perd son prestige et sa demande peut alors diminuer.
Prenons un exemple pour illustrer ce concept : imaginez une personne qui achète du vin pour une occasion spéciale. Même sans être une experte, elle pourrait choisir un vin plus cher en supposant que ce prix élevé garantit une meilleure qualité. Dans ce cas, une diminution du prix pourrait réduire l'attrait du vin en tant que symbole de statut, entraînant ainsi une baisse de la demande.

L'élasticité de la demande pour un produit dépend de plusieurs facteurs principaux :
L'élasticité de la demande varie le long de la courbe de demande d'un bien ou service. En effet, cette courbe n'a pas la même élasticité à tous ses niveaux de prix.
Une modification unitaire du prix à des niveaux élevés entraîne une variation en pourcentage relativement faible. Cette faible variation de prix correspond à une élasticité plus grande. À l'inverse, une modification unitaire du prix à des niveaux bas entraîne une variation en pourcentage plus importante. Cela conduit à une élasticité plus faible, car comme le prix est le dénominateur dans la formule de l'élasticité, son effet devient amplifié lorsqu'il est bas.

Pour la demande à des niveaux élevés, une variation unitaire de la quantité demandée représente une faible variation en pourcentage. Cela entraîne une élasticité réduite. En revanche, lorsque la demande est faible, une variation unitaire de la quantité demandée représente une plus grande variation en pourcentage. Cela indique une élasticité plus élevée. Dans ce cas, la demande est le numérateur dans la formule de l'élasticité.
Il est également important de noter que ce que nous avons abordé ici concerne l'élasticité-prix de la demande. Cependant, il existe d'autres types d'élasticité. L'élasticité-revenu mesure par exemple la sensibilité de la demande aux variations de revenu. L'élasticité croisée, quant à elle, évalue l'impact de la variation du prix d'un produit sur la demande d'un autre bien ou service.