Bourse
Modèle de Markowitz : définition et fonctionnement

Le modèle de Markowitz et sa frontière efficiente sont des termes que nous avons déjà entendus lors de nos études en économie. Voilà maintenant après des années, nous ne savons pas encore exactement ses fondements principaux et sa capacité à nous aider à diversifier le risque lors de la sélection de nos actifs pour notre portefeuille.
Vu l'ampleur de la théorie et ses évolutions ultérieures, nous ne pouvons tout détailler dans une seule publication. Ainsi, notre objectif est d'offrir un aperçu fondamental pour mieux comprendre et exploiter cet outil face aux interrogations courantes.
Commençons cet article par des définitions de base avant de plonger dans son explication et son développement.
Qu'est-ce qu'un portefeuille efficient ?
Un portefeuille efficient doit répondre à deux critères :
- Pour le niveau de rendement attendu, il n'existe aucun autre portefeuille ayant un risque plus faible.
- Avec le niveau de risque qu'il présente, il n'existe pas d'autre option d'investissement offrant un rendement prévu supérieur. Autrement dit, il garantit le rendement le plus élevé pour le risque associé.
Voici quelques recommandations à considérer pour atteindre ces objectifs :
1. Connaître votre profil d'investisseur : C'est-à-dire quel risque vous êtes prêt à accepter. Etes-vous plutôt conservateur, modéré ou agressif ?
2. Définir des objectifs réalistes : Vous devrez connaître quel est votre objectif, ou plus précisément, quel rendement souhaitez-vous atteindre sachant le niveau de risque que vous êtes prêt à accepter. Ainsi, il faut mettre l'accent sur l'expression « objectifs réalistes », car :
- Des objectifs surestimés pourraient finir par vous démotiver.
- Des objectifs peu ambitieux pourraient entraîner un relâchement et à long terme, à des pertes par excès de confiance.
3. Équilibrer le risque : Maintenant que vous connaissez votre niveau de risque et vos objectifs, vous pouvez diversifier en allouant vos investissements dans divers actifs tels que les actions, les ETF, les CFD, les fonds, etc.
4. Conseils en matière de fiscalité : Après avoir pensé à un plan, à une stratégie et surtout, après avoir subi tous les risques auxquels vous avez été exposés, vous devrez affronter le moment le plus traumatisant de tous : passer à la caisse pour payer les impôts. Pur cela, il vous faudra déclarer correctement vos revenus du capital ou consulter un expert. Sinon, des sanctions fiscales pourraient annuler vos gains durement obtenus.
5. Diversifiez votre portefeuille en fonction du risque : Jusqu'à présent, nous n'avons pas arrêté de parler d'investissement en bourse. Cependant, il existe d'autres formes d'investissement rentables et peut-être moins risquées telles que les revenus passifs ou encore le secteur immobilier.
1. Qu'est-ce que le modèle de Markowitz ?
Maintenant que vous savez comment procéder à la configuration d'un portefeuille efficace, nous allons évaluer le modèle de Markowirz.
Le modèle de Markowitz est un modèle mathématique utilisé pour analyser le rendement des portefeuilles d'investissement. Il a été développé par l'économiste Harry Markowitz au cours des années 1950.
Ainsi, le modèle de Markowitz vise à optimiser le rendement tout en réduisant le risque. Pour cela, il crée un portefeuille diversifié dans plusieurs classes d'actifs. Cette diversification aide à réduire le risque global, tout en offrant la possibilité d'un rendement élevé.
Aujourd'hui, ce modèle influence grandement le secteur financier et de nombreux investisseurs et des gestionnaires d'argent du monde entier l'utilisent.
Qui est Harry Markowitz ?
L'économiste Harry Markowitz est né en 1927 à Chicago, Illinois.
Issu de la renommée École d'économie de Chicago, il s'est établi comme l'un des analystes d'investissement les plus influents au monde. En 1952, il a rédigé un article intitulé « Portfolio Selection », inspiré de sa thèse de doctorat, qui non seulement a marqué un tournant dans sa carrière, mais a aussi inauguré un nouveau champ d'étude sur la composition idéale d'un portefeuille d'actifs.
En 1990, il reçoit le Prix Nobel d'économie avec Miller et Sharpe pour ses contributions à la théorie de la gestion des portefeuilles.

Quelles sont les hypothèses sur lesquelles repose le modèle de Markowitz ?
Hypothèses sur le comportement et la méthode rationnelle de choix des investisseurs
- Tous les individus prennent des décisions de manière rationnelle, cherchant toujours à maximiser leurs bénéfices attendus.
- La décision d'un investisseur est basée uniquement sur deux facteurs : le rendement prévu, qui mesure la rentabilité, et la variance ou l'écart type, qui mesure le risque.
- Si deux portefeuilles ont le même risque, l'investisseur choisira celui avec le rendement attendu le plus élevé.
- Face à deux portefeuilles avec le même rendement attendu, l'investisseur optera pour celui présentant le moindre risque, car les investisseurs ont naturellement une aversion pour le risque.
- Les courbes d'indifférence montrent les combinaisons de rentabilité et de risque qui satisfont l'investisseur de la même manière. Ces courbes sont ascendantes et convexes : plus le risque est grand, plus l'investisseur attend un rendement élevé. Les courbes les plus à gauche et en haut indiquent des bénéfices attendus supérieurs.
Hypothèses sur les actifs et les marchés financiers
- On part du principe que les marchés financiers sont parfaits :
- Tous les acteurs du marché ont un accès égal et gratuit à toutes les informations.
- Il n'existe aucun frais de transaction lors de l'achat ou de la vente d'actifs financiers.
- Les titres peuvent être divisés à l'infini, permettant d'investir n'importe quelle somme.
- Il n'y a pas d'inflation ni d'impôts dans l'économie.
- Les investisseurs acceptent les prix tels qu'ils sont.
- Tous les investisseurs planifient sur la même durée, soit une période. Ils achètent un portefeuille d'actifs spécifique au début de cette période et le revendent à son terme.
- Sur les marchés financiers, on échange N actifs financiers avec des risques, ainsi que les diverses combinaisons possibles de ces actifs. L'idée d'avoir un actif financier sans aucun risque pour investir ou se financer n'est pas considérée.
- Les titres bénéficient d'une liquidité immédiate à la fin de la période de référence.
- Les ventes à découvert ne sont pas autorisées.
Comment le modèle de Markowitz a-t-il été élaboré ?
Le modèle conçu par Markowitz a pour objectif d'identifier le portefeuille le plus avantageux, c'est-à-dire celui qui offre le maximum de bénéfices anticipés pour l'investisseur. Pour y parvenir, il établit une démarche en quatre phases :
1. Détermination de l'ensemble des possibilités d'investissement offertes par le marché (ensemble viable)
- Nous analysons les N actifs financiers présentant des risques et les différents portefeuilles échangés sur les marchés. Pour ce faire, nous évaluons leur rentabilité prévue, ainsi que les variances et les covariances entre les rendements de chaque combinaison possible d'actifs financiers.
- Lorsque deux titres ont une corrélation intermédiaire, leurs combinaisons se positionnent sur une hyperbole située entre ces niveaux. Plus la corrélation entre les rendements des deux actifs est faible, plus l'hyperbole présente une courbure marquée.
- Lorsque nous avons N actifs financiers qui présentent une corrélation intermédiaire, cela forme une zone que nous qualifions d'ensemble viable.
2. Détermination de la frontière efficiente
Rappelons qu'un portefeuille efficace est celui qui remplit deux conditions :
- Pour son niveau de rendement attendu, il n'existe aucun autre portefeuille présentant un risque plus faible.
- Étant donné son niveau de risque, il n'y a pas d'autre alternative d'investissement qui présente un rendement prévu supérieur. Autrement dit, le portefeuille efficace garantit le rendement le plus élevé possible compte tenu de son risque.
Ainsi, la frontière efficiente est une notion issue du modèle de Markowitz. Elle souligne le fait qu'un équilibre idéal entre risque et rendement est possible lorsqu'on investit. Cet équilibre est atteint en diversifiant les placements à travers diverses catégories d'actifs. Habituellement, cet équilibre est illustré par un graphique où le rendement est sur l'axe des abscisses et le risque sur l'axe des ordonnées. La courbe de cette frontière illustre le meilleur portefeuille pour chaque niveau de risque spécifié.
Par exemple, un investisseur qui craint le risque opterait pour un portefeuille se rapprochant de l’axe Y (Ep, risque réduit). Par contre, un investisseur en quête de rendements élevés se tournerait vers un portefeuille se rapprochant de l’axe X (haut rendement). Ainsi, la frontière efficiente représente les divers points d'équilibre entre rentabilité et risque. Elle indique le rendement que nous devrions viser en fonction du niveau de risque que nous sommes disposés à prendre, et vice versa.
Dans tous les autres cas, on considère le portefeuille comme étant inefficace. Le portefeuille efficace au risque le plus faible correspond au portefeuille à variance minimale (CMV). Ainsi, la frontière efficace commence à partir du CMV.
3. Spécification des préférences de l'investisseur
- Les courbes d'indifférence ont une forme ascendante et convexe. Leur configuration précise varie selon la propension de l'investisseur à éviter le risque.
- Une courbe d'indifférence, également appelée d'isoutilité est la représentation graphique de toutes les combinaisons rendement-risque qui offrent à l'investisseur un niveau d'utilité similaire, face auxquelles il demeure indifférent.

4. Détermination du portefeuille optimal
- Le portefeuille optimal se trouve au point de tangence entre la frontière efficiente et la courbe d'isoutilité. Le portefeuille O est celui qui fournit le plus grand niveau d'utilité possible. Il se situe sur la courbe d'indifférence la plus élevée.
- Il est unique pour chaque investisseur, car il dépend :
- Des estimations individuelles des titres (frontière efficiente)
- Du degré d'aversion au risque (courbes d'indifférence).

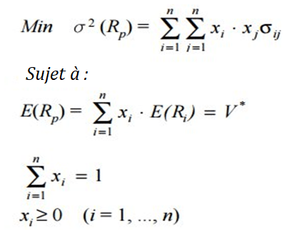
5- Comment le modèle est-il développé analytiquement ?
Nous pouvons calculer l'ensemble des portefeuilles efficients en résolvant le programme quadratique paramétrique suivant :

- Xi : c'est la proportion du budget de l'investisseur allouée à l'actif financier
- i : inconnue du programme
- σ^2 (Rp) : variance de la portefeuille p
- ij : Covariance entre les rendements des valeurs i et j
- E(Rp) : rentabilité ou rendement attendu de la portefeuille p
L'ensemble des paires [E(Rp), σ^2 (Rp)] ou combinaisons rentabilité-risque de toutes les portefeuilles efficaces est appelé « frontière efficace ». Une fois connue, l'investisseur choisira son portefeuille optimal selon ses préférences,.
Quels sont les inconvénients du modèle de Markowitz ?
- Complexité mathématique du modèle : à ses débuts, l'algorithme de résolution était perçu comme complexe, notamment en raison du grand nombre de rentabilités attendues, de variances et de covariances à estimer. Toutefois, il est important de souligner que la résolution est aujourd'hui simplifiée grâce à l'évolution du matériel et à l'utilisation des logiciels adaptés.
- Hypothèses du modèle : le modèle de Markowitz ne tient pas compte des coûts de transaction ni des impôt. Il considère également la parfaite divisibilité des titres sélectionnés. Ces inconvénients peuvent être résolus en introduisant de nouvelles restrictions au modèle.
- Évaluation du risque : le modèle ne fournit pas d'outil pour aider l'investisseur à appréhender son aversion au risque et à en déduire sa fonction d'utilité, ce qui est essentiel pour identifier son portefeuille idéal.
- Données utilisées : Michaud (1989) estime que se baser sur des séries de rendements historiques pour prévoir les paramètres futurs introduit des distorsions notables. De ce fait, les portefeuilles efficients générés par le modèle tendent à se composer d'actifs à forte rentabilité, à faible variance et peu corrélés avec d'autres actifs, conduisant à des portefeuilles fortement axés sur un nombre limité de titres (donc peu diversifiés et à haut risque). Toutefois, cette problématique peut être résolue en imposant des contraintes supplémentaires qui plafonnent le pourcentage d'investissement dans chaque titre.
Conclusion
Le modèle de Markowitz est considéré comme le point de départ de la théorie moderne sur la sélection de portefeuilles et la détermination de la frontière efficiente. Son approche et ses contributions et évolutions ultérieures sont sans aucun doute l'un des plus grands progrès de la théorie économique au XXe siècle. Cependant, son utilisation pratique par les gestionnaires et analystes d'investissement a été relativement faible par rapport à son importance théorique.
Dans ses recherches, Markowitz met en évidence que la diversification d'un portefeuille ne repose pas uniquement sur le nombre d'actions qui le constituent, mais plutôt sur la corrélation entre leurs rendements. Si cette corrélation est forte, la diversification sera limitée. En revanche, si elle est faible, le portefeuille pourra être davantage diversifié, réduisant ainsi considérablement le risque.